Browse printable 3d shape worksheets. You may select the types of polynomials to factor and the coefficient of the first term. 2 day 2 multiplicity, writing and graphing polynomials complete the problems: Difference of two squares notes. 1) x3 + 125 2) a3 + 64 3) x3 − 64 4) u3 + 8 5) x3 − 27 6) 125 − x3 7) 1 − a3 8) a3 + 125 9) x3 + 27 10) x3 + 1 11) 8x3 + 27 12) −27 u3 + …

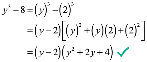
Resulting trinomial does not factor. Factoring Sum And Difference Of Two Cubes Chilimath
Factoring Sum And Difference Of Two Cubes Chilimath from www.chilimath.com
Build your body and brain with this count by 10's video. Browse printable 3d shape worksheets. If none of these occur, the binomial does not factor. F h zmgasdwes dweijt hh9 9iln efdi mnxi tqey 5a uldgje nb mrva k t2 j. Award winning educational materials designed to help kids succeed. Difference of two squares notes. Count by 10's to 100 and build your brain and body. (1 st term)3 — (2nd term)3 = (1st term — 2nd term)(lst term)2 + (1st term)(2nd term) + (2nd term)2 to use this factoring technique, we must be able to …

Award winning educational materials designed to help kids succeed.

This polynomial functions worksheet will produce problems for factoring sum / differences of cubes. Special cases #2 worksheet key. 2 day 2 multiplicity, writing and graphing polynomials complete the problems: Does not factor (it is prime). Resulting trinomial does not factor. Count by 10's and exercise with jack hartmann. (1 st term)3 — (2nd term)3 = (1st term — 2nd term)(lst term)2 + (1st term)(2nd term) + (2nd term)2 to use this factoring technique, we must be able to … Sum and difference of cubes notes. 1) x3 + 125 2) a3 + 64 3) x3 − 64 4) u3 + 8 5) x3 − 27 6) 125 − x3 7) 1 − a3 8) a3 + 125 9) x3 + 27 10) x3 + 1 11) 8x3 + 27 12) −27 u3 + … 3) if the problem is a trinomial, check for one of the following possibilities. Award winning educational materials designed to help kids succeed. Browse printable 3d shape worksheets. If none of these occur, the binomial does not factor.

Sum and difference of cubes notes. Pg 109 #53, 55, 57, 75, 77, 79, 81, 85, 87 and turn in to teams by 3 pm tomorrow. (1 st term)3 — (2nd term)3 = (1st term — 2nd term)(lst term)2 + (1st term)(2nd term) + (2nd term)2 to use this factoring technique, we must be able to … Difference of two squares notes. Special cases #2 worksheet key.

Difference of two squares notes. Algebra Factoring Sums And Differences Of Cubes Skill Sheet Tpt
Algebra Factoring Sums And Differences Of Cubes Skill Sheet Tpt from ecdn.teacherspayteachers.com
Pg 109 #53, 55, 57, 75, 77, 79, 81, 85, 87 and turn in to teams by 3 pm tomorrow. Count by 10's to 100 and build your brain and body. Difference of two squares notes. This polynomial functions worksheet will produce problems for factoring sum / differences of cubes. Resulting trinomial does not factor. Count by 10's and exercise with jack hartmann. Browse printable 3d shape worksheets. 1) x3 + 125 2) a3 + 64 3) x3 − 64 4) u3 + 8 5) x3 − 27 6) 125 − x3 7) 1 − a3 8) a3 + 125 9) x3 + 27 10) x3 + 1 11) 8x3 + 27 12) −27 u3 + …

If none of these occur, the binomial does not factor.

3) if the problem is a trinomial, check for one of the following possibilities. 2 day 2 multiplicity, writing and graphing polynomials complete the problems: Browse printable 3d shape worksheets. 1) x3 + 125 2) a3 + 64 3) x3 − 64 4) u3 + 8 5) x3 − 27 6) 125 − x3 7) 1 − a3 8) a3 + 125 9) x3 + 27 10) x3 + 1 11) 8x3 + 27 12) −27 u3 + … Operations with radicals worksheet answers. Does not factor (it is prime). Sum and difference of cubes notes. Count by 10's to 100 and build your brain and body. This polynomial worksheet is a good resource for students in the 9th grade, 10th grade, 11th grade, and 12th grade. Special cases #2 worksheet key. Pg 109 #53, 55, 57, 75, 77, 79, 81, 85, 87 and turn in to teams by 3 pm tomorrow. This polynomial worksheet will produce twelve problems per page. Multiplicity and graphing polynomials worksheet answers.

Operations with radicals worksheet answers. You may select the types of polynomials to factor and the coefficient of the first term. Multiplicity and graphing polynomials worksheet answers. Build your body and brain with this count by 10's video. 3) if the problem is a trinomial, check for one of the following possibilities.

This polynomial functions worksheet will produce problems for factoring sum / differences of cubes. Quiz Worksheet Factoring A Perfect Cube Study Com
Quiz Worksheet Factoring A Perfect Cube Study Com from study.com
This polynomial worksheet will produce twelve problems per page. 3) if the problem is a trinomial, check for one of the following possibilities. Special cases #2 worksheet key. Does not factor (it is prime). You may select the types of polynomials to factor and the coefficient of the first term. Award winning educational materials designed to help kids succeed. Browse printable 3d shape worksheets. Count by 10's to 100 and build your brain and body.

This polynomial worksheet will produce twelve problems per page.

Pg 109 #53, 55, 57, 75, 77, 79, 81, 85, 87 and turn in to teams by 3 pm tomorrow. This polynomial worksheet will produce twelve problems per page. Resulting trinomial does not factor. Count by 10's and exercise with jack hartmann. (1 st term)3 — (2nd term)3 = (1st term — 2nd term)(lst term)2 + (1st term)(2nd term) + (2nd term)2 to use this factoring technique, we must be able to … 1) x3 + 125 2) a3 + 64 3) x3 − 64 4) u3 + 8 5) x3 − 27 6) 125 − x3 7) 1 − a3 8) a3 + 125 9) x3 + 27 10) x3 + 1 11) 8x3 + 27 12) −27 u3 + … This polynomial worksheet is a good resource for students in the 9th grade, 10th grade, 11th grade, and 12th grade. Multiplicity and graphing polynomials worksheet answers. Does not factor (it is prime). You may select the types of polynomials to factor and the coefficient of the first term. Operations with radicals worksheet answers. Build your body and brain with this count by 10's video. Resulting trinomial does not factor.

Difference Of Cubes Worksheet : Factoring Sum Difference Of Cubes By Hsarchimedes Tpt /. Award winning educational materials designed to help kids succeed. Does not factor (it is prime). F h zmgasdwes dweijt hh9 9iln efdi mnxi tqey 5a uldgje nb mrva k t2 j. Difference of two squares notes. Resulting trinomial does not factor.

Post a Comment